五浅四深有什么原理_验孕棒有一深一浅图解
原理图集原理 2025-02-07 10:53
深入浅出 RecyclerView
由浅入深了解GC原理
接口实现跨域
表情 千年疑惑 为什么我越累越失眠,越睡越疲惫 驱动力 睡眠 视 ... 表情
深入浅出强化学习 原理入门 待更新
深入浅出通信原理 带目录高清版pdf
深入浅出 四位计算机的原理及其实现
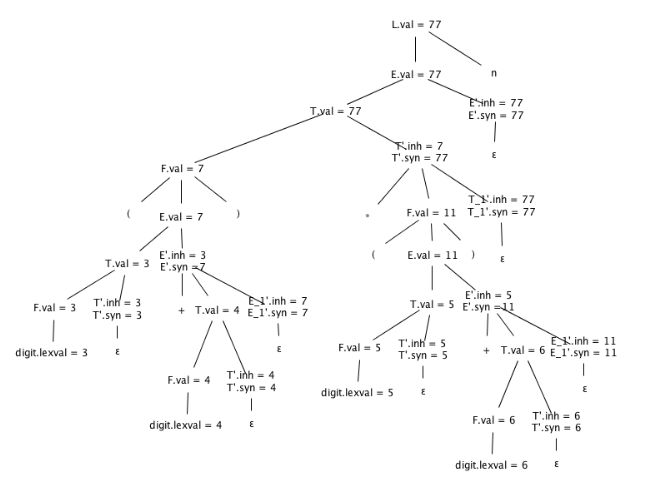
编译原理龙书第二版第五章习题题解 部分
深入浅出通信原理知识点8
傅里叶变换光学基本原理 五 理论学习者必看
数据库原理与应用 分章节测试题四 五 六章
NLP 如何深入浅出解析BERT原理及其表征的内容
编译原理习题上 3,4,5章
锂离子电池的的原理 配方和工艺流程
今日直播 五行性格形成的原理方法和应用 五行识人法
PLC系统的基础知识及工作原理深度解析
深入浅出聊波浪 经典图形解析
JSBeginner javaScript中的同步和异步
编译原理 第五章
自动控制原理 考研 理论篇 第五章 线性系统的频域分析法
智能控制基础 6 自动控制原理第五版第二章答案 部分
















