四位一体应用了什么原理_人工智能应用图片(3)
原理图集原理 2025-02-17 07:47
四位串行段式液晶显示器EDM1190A的原理及应用
成果简介 成果展示
权威揭密 重扣轰杀笔记本散热认知误区
四位串行段式液晶显示器EDM1190A的原理及应用
专访戴文渊 第四范式 现在 是一家怎样的公司
哪位大神知道用四探针电阻仪测量AZO透明导电薄膜的电阻率的原理,最好有图解越详细越好,急用,不甚感谢
用Altium Designer 画原理图和PCB图 四位八段数码管连线都没问题 为什么生成的PCB图却没有任何连线
各位大神帮小弟看一下下面这个原理图,我用P0口加一个4.7K的排阻和一个ULN2003可以让四位数码管亮起来吗
阳春两个学校开展科普演讲,主讲专家为研究所教授 中国科学院
color属性 python Python可视化17seborn箱图boxplot
SPSS教程 应用频率分析,分析数值分布规律
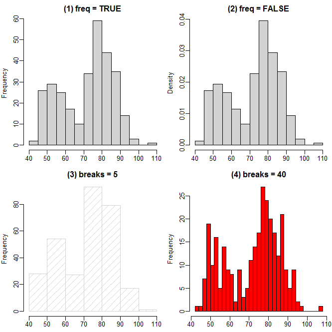
R可视化21 30个基础统计图绘制原理 使用场景 code
全屏显示课程章节












