动态规划基于什么原理_职业规划图片
原理图集原理 2025-02-20 07:22
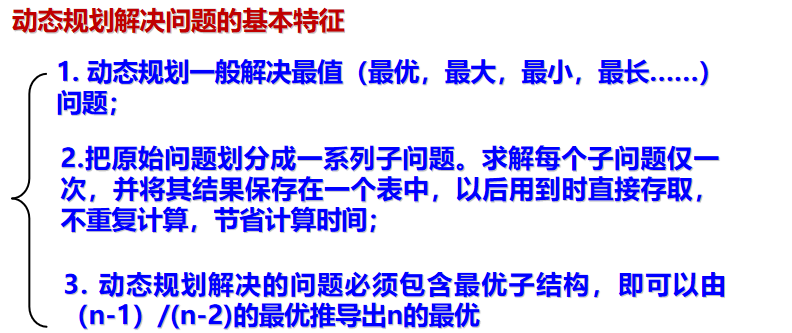
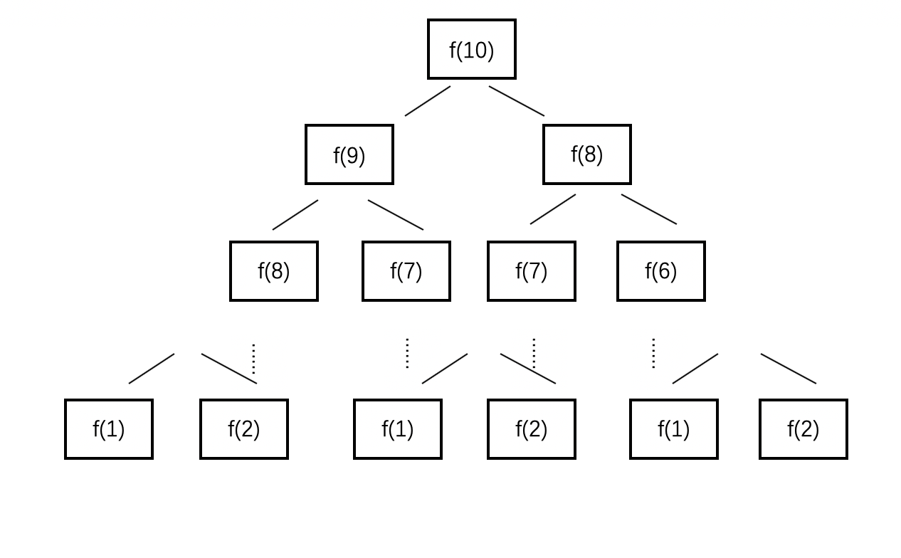
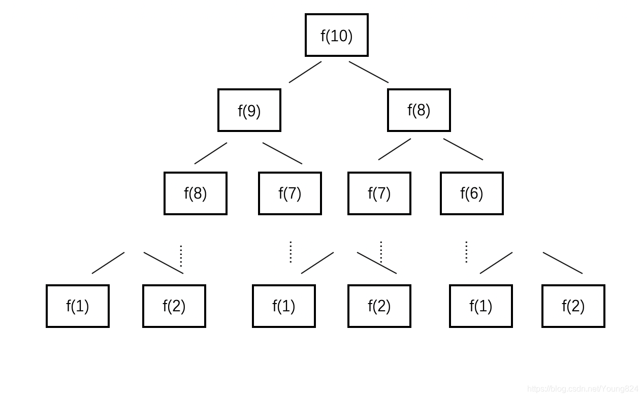
动态规划法的基本知识
动态规划法的基本知识
动态规划原理详解及代码实例
动态规划法的基本知识
动态规划法的基本知识
动态规划法的基本知识
基于自适应动态规划算法的双目传感器语义边缘视差估计
动态规划 原理 背包问题
基于启发式动态规划的三维路径规划算法
我的读书小记 1
动态规划法的基本知识
动态规划 原理 背包问题
动态规划 原理 背包问题
动态规划 原理 背包问题
强化学习 四 基于表格型动态规划算法的强化学习
地方高校移动图书馆服务现状及启示
基于16位单片机的语音电子门锁系统详解
Ad Hoc中基于动态规划的多约束QoS路由协议
动态规划原理详解及代码实例
数学建模中的规划问题
动态规划 原理 背包问题
上一篇:台阶那什么的原理吗_台阶简笔画
下一篇:切割复原是什么原理_圆明园复原图














