广度优先搜索的方法的原理是什么_广度优先搜索是怎么
原理图集原理 2025-03-03 02:41
算法思想简介 分制 分开在递归 ,贪心 DJS
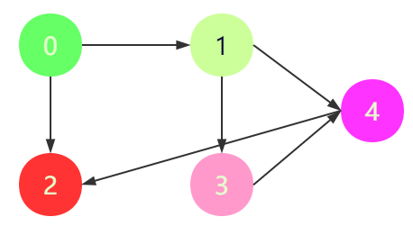
算法 18 无向图 深度 广度优先搜索 数据结构与算法 Yo.o CSDN博客
数据结构与算法之图
深度优先与广度优先搜索算法简单复习
深度优先搜索算法与广度优先搜索算法
算法 广度优先搜索
人工智能 状态空间的盲目搜索
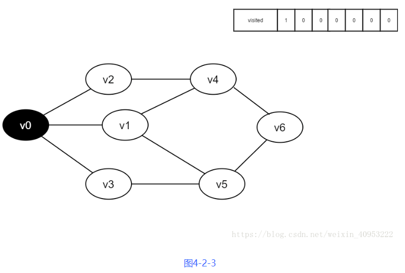
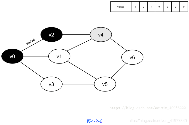
数据结构与算法 图的广度优先搜索 BFS 和深度优先搜索 DFS
图的遍历之深度优先搜索和广度优先搜索
深度优先搜索算法与广度优先搜索算法
深度优先搜索VS广度优先搜索 含算法实现
从九宫问题浅谈广度优先搜索与深度优先搜索策略
搜索算法及实现 Python 30 Nov 2020
10分钟详解 算法面试5大必考排序方式
快来学黄金算法 广度优先搜索 BFS
数据结构与算法 图的广度优先搜索 BFS 和深度优先搜索 DFS
数据结构与算法 图的广度优先搜索 BFS 和深度优先搜索 DFS
从九宫问题浅谈广度优先搜索与深度优先搜索策略
从九宫问题浅谈广度优先搜索与深度优先搜索策略
数据结构与算法之美 30图的表示 31 深度和广度优先搜索
AI广度优先搜索算法,项目实战北京地图 贪心学院


















