最小二乘法的估计原理是什么_最小二乘法标准公式
原理图集原理 2025-02-18 14:08
美赛模型笔记 二
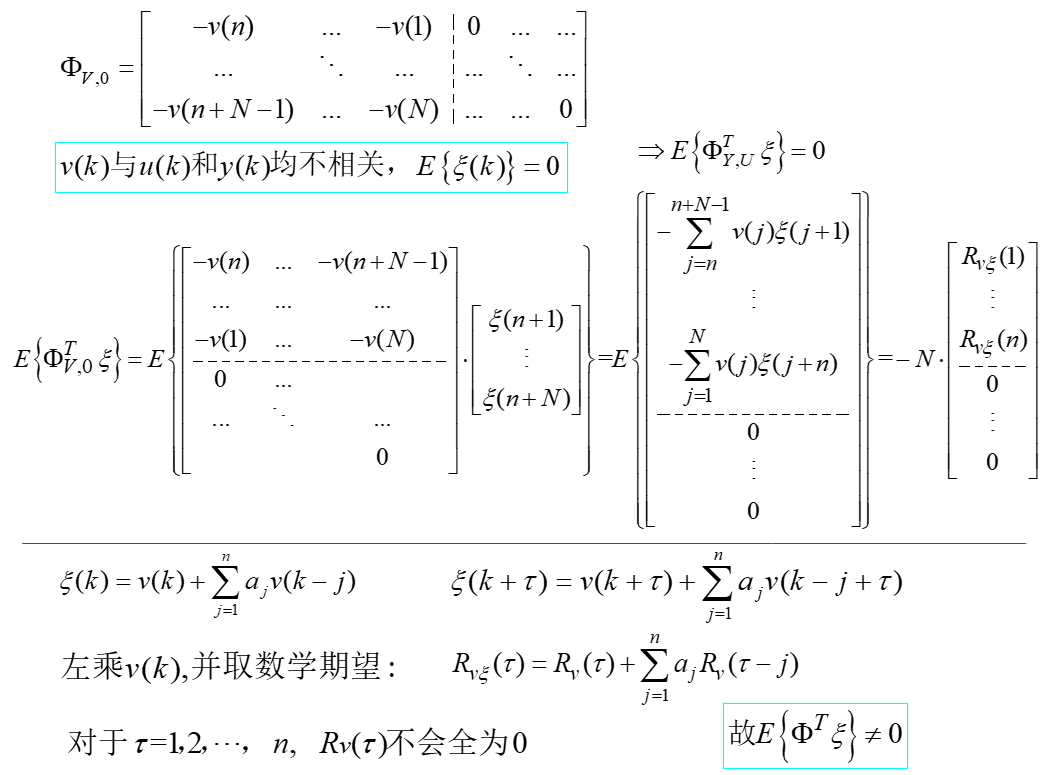
系统辨识 五 系统辨识的最小二乘法基础
系统辨识 六 最小二乘法的修正算法
算法学习 03 详解最小二乘法原理和代码
系统辨识 五 系统辨识的最小二乘法基础
最小二乘法估计参数α的方差如何计算
系统辨识 六 最小二乘法的修正算法
最小二乘法估计 非线性最小二乘法 极大似然估计 贝叶斯估计 CSDN
最小二乘法的无偏性是什么意思
系统辨识 六 最小二乘法的修正算法
最小二乘法多项式曲线拟合原理与实现
最小二乘法估计 非线性最小二乘法 极大似然估计 贝叶斯估计 CSDN
数学最小二乘法及原理 专业指导文档类资源 CSDN下载
讲义
算法学习 03 详解最小二乘法原理和代码
最小二乘法拟合原理 PDF 下载
最小二乘法的原理及python实现
最小二乘法和最大似然估计
最小二乘法和最大似然估计
算法学习 03 详解最小二乘法原理和代码
简单线性回归的最小二乘法估计
下一篇:化太岁是什么原理_太岁是什么东西















