最小二乘法的估计原理是什么_最小二乘法标准公式(2)
原理图集原理 2025-02-18 14:08
简述 参数估计中的最小二乘法
什么是最小二乘法
帮忙用最小二乘法做参数估计,只找到例子,自己用Eviews不会做
简述 参数估计中的最小二乘法
算法学习 03 详解最小二乘法原理和代码
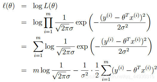
机器学习 最小二乘法,最大似然估计,最大后验估计之间的关系,Precision 查准率
算法学习 03 详解最小二乘法原理和代码
非线性最小二乘法matlab程序 希望给出用非线性最小二乘法估计下面两个模型的系数的matlab程序 谢谢
非线性最小二乘法原理
最小二乘法估算Pearson Ⅲ型分布参数的改进
一个利用最小二乘法求出估计的回归方程问题
试用最小二乘法求第4题中变量x.y之间的线性回归方程.并在x 28时.估计水稻产量. 题目和参考答案 青夏教育精英家教网
加权最小二乘法权重估计SPSS问题求助
最小二乘法的原理及python实现
下一篇:化太岁是什么原理_太岁是什么东西












